招生信息

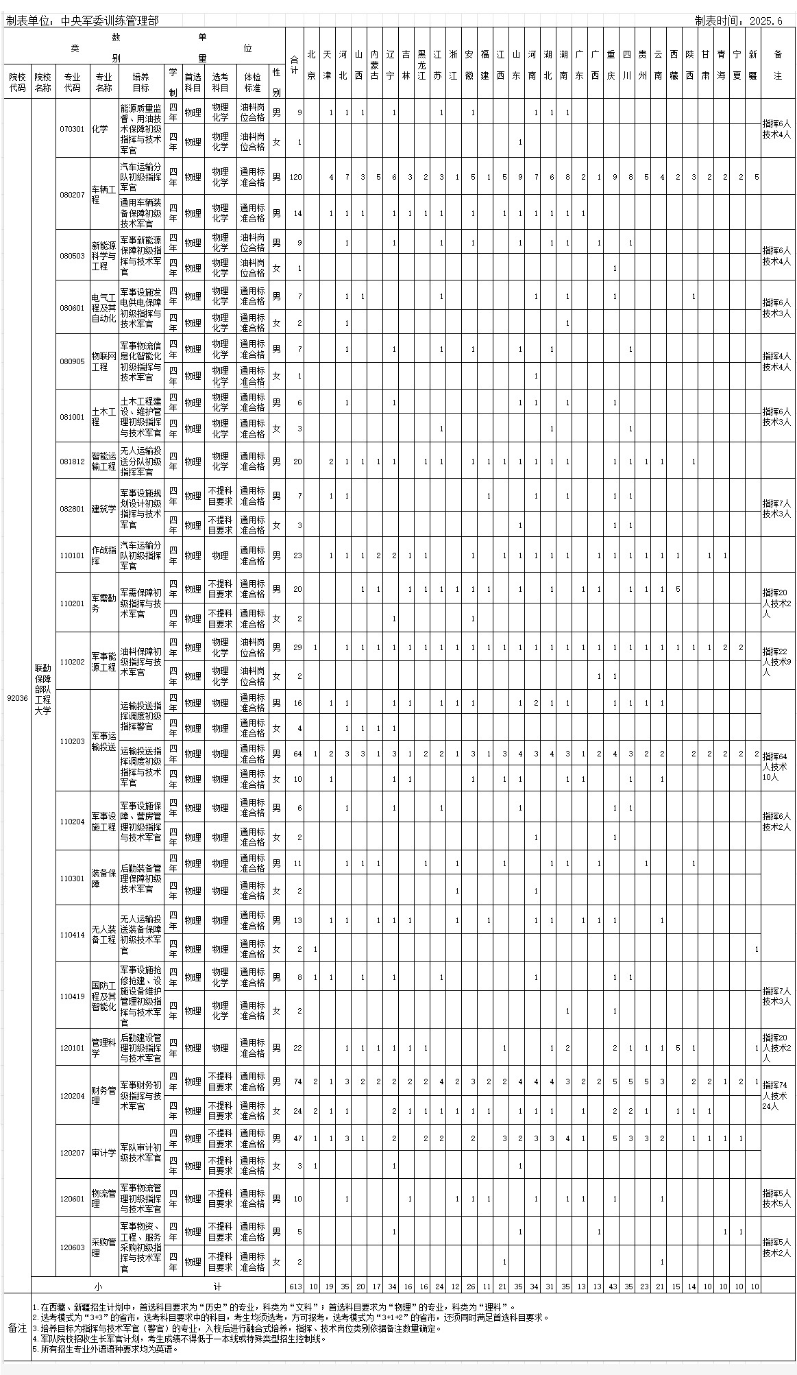
联勤保障部队工程大学2025年招收普通高中毕业生计划

40066ff79d1e54a761b1cc70bbfb50eb_2025_06_12_1749704482_487089.jpg